Calcul de la part de vacances
Le temps de travail non consacré à l’enseignement étant réparti de façon irrégulière sur l’année, une part de vacances est prise en compte en cas de congé non payé ou d’engagement dont la durée est inférieure à une année scolaire.
Prise en compte du temps non consacré à l'enseignement en cas de congé non payé et d'engagement de moins d'une année scolaire complète (part de vacances)
Dans une année scolaire de 39 semaines d’école, 13 semaines sont considérées comme temps de travail non consacré à l'enseignement (proportion 3:1). Pour tenir compte de cette situation, lorsque la durée du congé ou de l'engagement est inférieure à une année scolaire complète, chaque entrée ou sortie en cours d'année scolaire tient compte de la période sans cours. Une part de temps non consacré à l’enseignement au jour près qui est supérieure ou inférieure à la moyenne est donc prise en compte lors du calcul du traitement (part de vacances).
Dans les cas suivants, le temps de travail non consacré à l’enseignement est pris en compte dans le calcul du traitement :
En cas d’entrée en fonction en cours d’année scolaire, le temps de travail non consacré à l’enseignement est pris en compte dans le premier traitement.
Si les rapports de travail sont résiliés en cours d’année scolaire, le temps de travail non consacré à l’enseignement est pris en compte dans le dernier traitement.
Si le congé non payé débute en cours d’année scolaire, le temps de travail non consacré à l’enseignement est pris en compte dans le dernier traitement avant le congé.
Si le congé non payé prend fin en cours d’année scolaire, le temps de travail non consacré à l’enseignement est pris en compte dans le premier traitement après le congé.
Au début et à la fin de l'engagement / du congé non payé pendant l'année scolaire, la prise en compte se fait lors du premier et du dernier salaire.
En cas de plusieurs engagements consécutifs, le calcul se fait au prorata pour chaque engagement (le traitement versé peut comporter une période de chevauchement entre deux engagements).
En revanche, le temps de travail non consacré à l’enseignement n’est pas pris en compte dans le calcul du traitement pour les cas suivants :
engagements dont la durée est inférieure ou égale à un mois (le traitement se base sur le tarif des leçons ponctuelles) ;
engagements qui durent une année scolaire (du 1er août au 31 juillet) ;
congés non payés d’une durée inférieure ou égale à une semaine : si le congé dure sept jours ou moins, le traitement est amputé des leçons non données. Pour une semaine entière d’école, le traitement est suspendu pour sept jours. La prise en compte du temps non consacré à l’enseignement a lieu à partir du huitième jour civil.
congés non payés qui durent une année scolaire (du 1er août au 31 juillet)
Calcul de la part de vacances
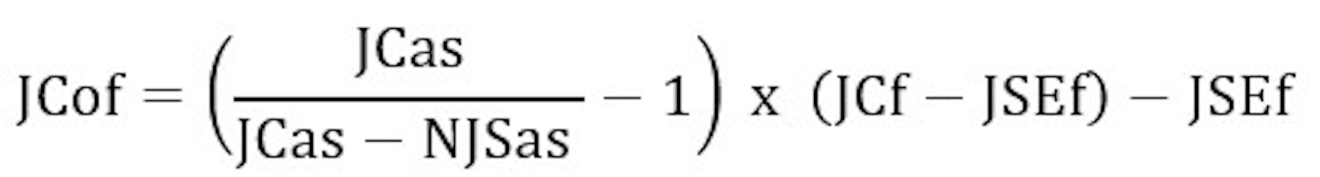
La durée de suspension ou de versement du traitement est calculée à l’aide de la formule suivante (le calcul dans le système de rémunération SAP est toujours déterminant) :
Nombre de jours à comptabiliser au début de l’engagement :
Nombre de jours à comptabiliser à la fin de l’engagement :
| JCod et JCof | Jours à comptabiliser (ces jours seront convertis en taux journaliers et comptabilisés comme supplément ou comme déduction au traitement du mois concerné). |
| JCas | Jours civils de l'année scolaire (365 ou 366 en cas d'année bissextile) |
| NJSas | Nombre de jours sans enseignement sur l'ensemble de l'année scolaire (jours civils) |
| JCd | Nombre de jours civils entre le début de l’année scolaire (01.08.xxxx) et la date d’entrée en fonction |
| JSEd | Nombre de jours sans enseignement entre le début de l’année scolaire (01.08.xxxx) et la date d’entrée en fonction (ce nombre sera calculé automatiquement grâce au calendrier des vacances de l’école enregistré dans SAP) |
| JCf | Nombre de jours civils entre le début de l’année scolaire (01.08.xxxx) et la fin des rapports de travail + 1 |
| JSEf | Nombre de jours sans enseignement entre le début de l’année scolaire (01.08.xxxx) et la fin des rapports de travail (ce nombre sera calculé automatiquement grâce au calendrier des vacances de l’école enregistré dans SAP) |
Vérification du calendrier des vacances enregistré dans SAP
Le calendrier des vacances est géré dans SAP sur la base des informations fournies par l'autorité compétente ou l'école. Comme le calendrier des vacances a une incidence directe sur les salaires en cas d'entrées et de sorties en cours d'année ou de congés non payés, il est vérifié au début de chaque année scolaire pour s'assurer qu'il est correct.
Si vous constatez des incohérences en dehors de ce contrôle, veuillez signaler les corrections à personalinformatik.apd@be.ch en indiquant la source.
Nota bene : part de vacances
Une modification du degré d’occupation pendant la durée de l’engagement n’a pas d’incidence sur le calcul de la part de vacances. Elle est traitée conformément à la communication des programmes effectuée par la direction d’école ; la part de vacances n’est pas calculée séparément pour chaque laps de temps.
Plutôt que de suspendre le traitement ou de le payer, on peut aussi se servir du relevé individuel des heures d'enseignement (RIH), notamment pour les congés non payés de courte durée ou les remplacements.
Bases légales
1 Une part de temps non consacré à l’enseignement qui est supérieure ou inférieure à la moyenne est prise en compte dans le calcul du traitement. L’alinéa 5 est réservé.
2 La part de temps non consacré à l’enseignement qui est supérieure ou inférieure à la moyenne est calculée sur la base de la part moyenne de temps non consacré à l’enseignement sur une année scolaire.
3 En cas d’entrée en fonction en cours d’année scolaire, la part de temps non consacré à l’enseignement qui est supérieure ou inférieure à la moyenne est prise en compte dans le premier traitement.
4 Si les rapports de travail d’un enseignant ou d’une enseignante sont résiliés en cours d’année scolaire, la part de temps non consacré à l’enseignement qui est supérieure ou inférieure à la moyenne est prise en compte dans le dernier traitement.
5 Une part de temps non consacré à l’enseignement qui est supérieure ou inférieure à la moyenne n’est pas prise en compte
| a | dans le calcul du traitement pour les rapports de travail d’une durée inférieure ou égale à un mois, | ||
| b | dans le calcul du traitement pour les rapports de travail qui commencent le 1er août et qui prennent fin le 31 juillet. | ||
1 Si un enseignant ou une enseignante prend un congé non payé, une part de temps non consacré à l’enseignement qui est supérieure ou inférieure à la moyenne est prise en compte dans le calcul du traitement. L’alinéa 5 est réservé.
2 La part de temps non consacré à l’enseignement qui est supérieure ou inférieure à la moyenne est calculée sur la base de la part moyenne de temps non consacré à l’enseignement sur une année scolaire.
3 Si le congé non payé est pris en cours d’année scolaire, la part de temps non consacré à l’enseignement qui est supérieure ou inférieure à la moyenne est prise en compte dans le dernier traitement avant le congé.
4 Si le congé non payé prend fin en cours d’année scolaire, la part de temps non consacré à l’enseignement qui est supérieure ou inférieure à la moyenne est prise en compte dans le premier traitement après le congé.
5 Une part de temps non consacré à l’enseignement qui est supérieure ou inférieure à la moyenne n’est pas prise en compte dans le calcul du traitement
| a | si le congé non payé dure une semaine ou moins; | ||
| b | si le congé non payé commence le 1er août et prend fin le 31 juillet. | ||
1 Si, après la présente modification (art. 14a ou art. 19), la compensation du temps non consacré à l’enseignement donne droit à un traitement inférieur à celui calculé avec la prise en compte d’une part de vacances selon l’ancien droit (art. 9l ou art. 19 dans la teneur en vigueur jusqu’au 31 décembre 2022), le traitement est calculé et versé selon l’ancien droit.
2 La présente règlementation s’applique aux rapports de travail et aux congés non payés qui ont débuté avant le 1er janvier 2023 et qui prennent fin entre le 1er janvier 2023 et le 31 juillet 2023.